Supply and installation of water filtration plant
Active Tender
⏰ Closing Date:
2026-05-12
2026-05-12
Tender Overview
- 📂 Category
- Water Supply & Sanitation
- 🏭 Sector
- Goods
- 📄 Tender Type
- Goods
- 📨 Submission Method
- Personal or Registered Post
- 💰 Estimated Cost
- Rs. 4 Million
- 🌐 Source Name
- Khyber Pakhtunkhwa PPRA
Location & Dates
- 📍 City
- Malakand
- 🗺️ Province
- Khyber Pakhtunkhwa
- 🌍 Country
- Pakistan
- 📅 Publish Date
- 2026-04-24
- ⏳ Closing Date
- 2026-05-12
- 🕒 Created At
- 2026-04-24 07:42:55
Contact & Websites
- 👤 Contact Person
- Babar Ali Khan
- 🌐 Website
- http://kppra.gov.pk
Actions
📥 Download Tender Document
⬅️ Back to All Tenders
Looking for more tenders like this? View all active Water Supply & Sanitation tenders.
Related Tenders
Sanitation Scheme and Solarization of Tube Well at UC Swabi Khas
Close: 2026-05-11 Swabi, Khyber Pakhtunkhwa
Supply of Sanitation Tools for WSSP Offices
Close: 2026-05-12 Peshawar, Khyber Pakhtunkhwa
Improvement and Rehabilitation of Road, Sewerage Work and Paver Block Fixing at...
Close: 2026-04-28 Karachi, Sindh
Improvement and Rehabilitation of Road, Sewerage Work and Paver Block Fixing at...
Close: 2026-04-28 Karachi, Sindh
Improvement and Rehabilitation of Road, Sewerage Work and Paver Block Fixing Near...
Close: 2026-04-28 Karachi, Sindh
Construction of Drinking Water Supply and Sanitation Schemes in Northern Districts of...
Close: 2026-05-19 Swat, Khyber Pakhtunkhwa
Tender Document

Tender Description
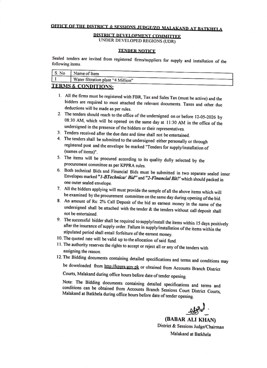
The Office of the District & Sessions Judge at Malakand, Batkhela, under the District Development Committee for Under Developed Regions (UDR), is procuring a water filtration plant with a budget of **PKR 4 Million**. This procurement is specifically for the supply and installation of the water filtration plant to improve water quality in the Malakand district.
The technical scope includes the complete supply and installation of the water filtration plant. Bidders must provide samples of the items for examination by the procurement committee on the bid opening day. The successful bidder will be required to complete supply and installation within 15 days after the insurance of the supply order. Failure to comply will result in forfeiture of the earnest money.
Eligibility criteria require all firms to be registered with FBR, with active Tax and Sales Tax registration. Bidders must attach relevant documents and provide a 2% Call Deposit as earnest money. Both technical and financial bids must be submitted in separate sealed envelopes marked accordingly and placed inside one outer sealed envelope.
The tender submission deadline is **12-05-2026 by 08:30 AM**, with bid opening at 11:30 AM the same day at the office of the undersigned. Bids can be submitted personally or via registered post. The bidding documents with detailed specifications and terms can be downloaded from the KPPRA website or obtained from the Accounts Branch District Courts, Malakand during office hours before the tender opening date.
A practical tip for bidders is to ensure the earnest money call deposit is attached with the tender, as bids without this will not be entertained. Also, submitting clear and complete technical and financial bids in separate envelopes as per instructions will avoid disqualification.
